Pumps & Fans - Affinity Laws


General

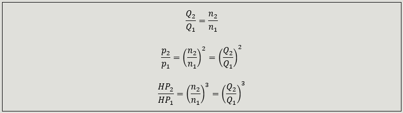
Affinity laws establish interdependencies between a fan or pump’s fluid flow rate, rotational speed, pressure, and power. These laws provide engineers a quick and easy way to determine the effects of a change in one or more of the variables, on the remaining factors.

Description of Variables

Affinity Laws